μ»¬λ¬ λͺ¨λΈ μμ νννκ³ μ νλ λ°©μμ΄λΌ ν μ μμ΅λλ€.
λνμ μΌλ‘ RGB, CMY, HSIκ° μμ΅λλ€.
RGB μ»¬λ¬ λͺ¨λΈ

β
RGB μ»¬λ¬ λͺ¨λΈμ λΉ¨κ°, μ΄λ‘, νλμ΄λΌλ 3κ°μ§ μμ κ°μ μ΄μ©ν΄μ μμ ννν©λλ€.
μμ νΌν©ν μλ‘ μμ΄ λ°μμ§λ κ°μ°μ²΄κ³(Additive System)μ μ¬μ©ν©λλ€.
β
1) RGBλ₯Ό κ°μ λΉμ¨λ‘ νΌν© → κ°μ₯ λ°μ ν°μ
Red(1, 0, 0) + Green(0, 1, 0) + Blue(0, 0, 1) = White(1, 1, 1)
β
2) λΉ¨κ°μ + μ΄λ‘μ → λ Έλμ
Red(1, 0, 0) + Green(0, 1, 0) = Yellow(1, 1, 0)
β
3) μ΄λ‘μ + νλμ → μ²λ‘μ
Green(0, 1, 0) + Blue(0, 0, 1) = Cyan(0, 1, 1)
β
4) νλμ + λΉ¨κ°μ → μνμ
Red(1, 0, 0) + Blue(0, 0, 1) = Magenta(1, 0, 1)
CMY μ»¬λ¬ λͺ¨λΈ

CMY μ»¬λ¬ λͺ¨λΈμ μ²λ‘(Cyan), μν(Magenta), λ Έλ(Yellow) μ΄ 3κ°μ§ μμ κ°μ μ΄μ©ν΄μ μμ ννν©λλ€.
RGB μ»¬λ¬ λͺ¨λΈμμ λκ°μ μΌλ‘ λ§μ£Όλ³΄λ μμΌλ‘ νννλ κ²μ λλ€.
RGBμ λ€λ₯Έ μ μ 3κ°μ§ μμ λͺ¨λ νΌν©νλ©΄ κ°μ₯ μ΄λμ΄ κ²μ μμ΄ λμ€λ κ°μ°μ²΄κ³(Subtractive System)λ₯Ό μ¬μ©ν©λλ€.
RGBμ CMYμμ κ΄κ³
RGB μ»¬λ¬ λͺ¨λΈκ³Όλ λ°λμ 곡κ°μ μμΉνλ CMY μ»¬λ¬ λͺ¨λΈμ 보μ(Complement) κ΄κ³λ₯Ό νμ±ν©λλ€.
μ²λ‘μ - λΉ¨κ°μ, μνμ - λ Έλμ, λ Έλμ - νλμμ λͺ¨λ 보μ κ΄κ³μ λλ€.
β
보μ κ΄κ³μ΄κΈ° λλ¬Έμ λ μ»¬λ¬ λͺ¨λΈκ°μ λ³νμ΄ κ°λ₯ν©λλ€.
β
1) RGB → CMY ( CMY = 1 - RGB )

2) CMY → RGB ( RGB = 1 - CMY )

HSI μ»¬λ¬ λͺ¨λΈ
μ΄λ κ² RGBμ CMYκ°μ κ΄κ³λ₯Ό 보μμ΅λλ€.
νμ§λ§, μ΄ λ μ»¬λ¬ λͺ¨λΈμ λ€λ₯Έ μμ μ²λ¦¬ μμ©μ νκ³κ° μμ΅λλ€.
β
1) RGB μ»¬λ¬ μμλ€μ μνΈ κ΄κ³κ° λ무 컀μ νΉμ μμλ§ λΆλ¦¬κ° μ΄λ ΅λ€
2) RGBμ CMY μ»¬λ¬ λͺ¨λΈμ λμ€νλ μ΄ μ₯μΉμ μΈμμ₯μΉμ©μΌλ‘ μ¬μ©νκΈ° μν΄ λ§λ€μλ€
3) HSI λͺ¨λΈμ μ¬μ©μκ° λ μ½κ² μμ μ§μ ν μ μκ² νλ€
β
β
HSI μ»¬λ¬ λͺ¨λΈμ μμ, μ±λ, λͺ λλ‘ κ΅¬λΆνλ μ»¬λ¬ κ³΅κ°μ λλ€.
μΈκ° μκ° μμ€ν κ³Ό μ μ¬νλ€λ μ₯μ μΌλ‘ μμ μ²λ¦¬μ μ μ©νκ² μ¬μ©λ©λλ€.
β
1) μμ(Hue)
- 'λΉ¨μ£Όλ Έμ΄νλ¨λ³΄' λ±κ³Ό κ°μ λ€λ₯Έ μκ³Ό κ΅¬λ³ λ μ μλ μμ λͺ μΉμ΄λ μμ νΉμ±, μμ ꡬλΆ, μμμ(Pure Color)
β
μλλ μμμ λ³νν κ²°κ³Όμ λλ€.

β
2) μ±λ (Saturation)
- μμ ννν λ 'μ°νλ€', 'μ§νλ€', 'ννλ€' λ±κ³Ό κ°μ μ λλ₯Ό λνλ
- ν°μκ³Ό μμμμ νΌν© λΉμ¨(0 ~ 100%)μ μλ―Έ
β
μλλ μ±λλ₯Ό λ³νν κ²°κ³Όμ λλ€.

β
3) λͺ λ (Intensity)
- μμ λ°κ³ μ΄λμμ μ λμΈ λͺ μ(ζζ)μ νν
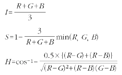
RGBμ HSIμ κ΄κ³
λ§μ°¬κ°μ§λ‘, RGB μ»¬λ¬ λͺ¨λΈμμ HSI μ»¬λ¬ λͺ¨λΈλ‘ λ³νμ΄ κ°λ₯ν©λλ€.
μλλ λ³ν 곡μμ΄μ, HSI μ»¬λ¬ λͺ¨λΈμ ꡬνλ 곡μμ λλ€.

β
μ±λλ₯Ό ꡬνλ 곡μμ μ μ¬ν 보면, RGB κ°μ΄ λͺ¨λ κ°μΌλ©΄ μ±λλ 0μ΄λ©λλ€.
μ±λκ° 0μ΄λ©΄ 무μ±μμ΄λΌκ³ ννν©λλ€. μ¦, μμ κ°μ μ ν μκ° μκ² λ©λλ€.
β
νμ§λ§, μμκ³Ό μ±λ κ°μ κ΄κ³μμ΄ λ 립μ μΈ μμμ λͺ λλ₯Ό λΆλ¦¬ν μ μμ΅λλ€.
νλ°± μμ μ²λ¦¬μ κ²½μ°, νμ€ν κ·Έλ¨ μ°μ°, λͺ λ λ³ν, νμ λ±μ μ£Όλ‘ μ¬μ©λ©λλ€.
μ»¬λ¬ μμ μ²λ¦¬μ κ²½μ°, μΈκ° μκ°μμ€ν νΉμ±κ³Ό μ μ¬ν©λλ€.