1์ฐจ ๋ฏธ๋ถ์ ์ด์ฉํ ์ฃ์ง ๊ฒ์ถ

์ด๋ฐ ์ฃ์ง๋ฅผ ์ถ์ถํ๋ ๋ค๋ฅธ ๋ฐฉ๋ฒ์ ๋ฏธ๋ถ ์ฐ์ฐ์ ์ด์ฉํ๋ ๊ฒ์ ๋๋ค.
โ
์๋ ๊ทธ๋ฆผ์ ์์์ ๋ฐ๊ธฐ ๋ณํ์ ๋ฏธ๋ถ ๊ฐ ๋ณํ๋ฅผ ๋ณด์ฌ์ฃผ๋ ๊ทธ๋ฆผ์ ๋๋ค.
๊ทธ๋ฆผ (b)๋ฅผ ๋ณด๋ฉด ๋ช ์์ ๋ณํ๋ฅผ ๋ณด์ฌ์ฃผ๋๋ฐ, ๋ณผ๋ก ํ์ด๋์จ ๋ถ๋ถ์ด ๋ฐ์ ๋ถ๋ถ์ ๋๋ค.
๊ทธ๋ฆผ (c)๋ ์์์ ๋ช ์ ๋ณํ์ ๋ํ ๊ทธ๋ํ๋ฅผ ๋ฏธ๋ถํ ๊ฒฐ๊ณผ์ ๋๋ค. ํ์ด๋์จ ๋ถ๋ถ์ด ์ฃ์ง์ ๋๋ค.
โ
์ด๋ ๊ฒ ๋ช ์๋ ๋ณํ๋ฅผ ๋ณด์ฌ์ฃผ๋ ๊ทธ๋ํ๋ฅผ ์ปท-๋ทฐ(Cut-View)๋ผ ํฉ๋๋ค.
2์ฐจ์ ์์์ 1์ฐจ์์ผ๋ก ๋ง๋ ๊ทธ๋ํ์ ๋๋ค.

โ
โ
๋ฏธ๋ถ์ ํ ๋, ์ด๋ ๋ฐฉํฅ์ผ๋ก ๋ฏธ๋ถ์ ํ๋์ง์ ๋ฐ๋ผ ๋ค๋ฆ ๋๋ค.

โ
๋ฏธ๋ถ์ ํ๋ฉด ์ ๋ ๊ฐ๊ณผ ์ ๊ณฑ๊ทผ ์ค ํธ์์ฑ ์ํด ์ ๋๊ฐ์ด ์ฃผ๋ก ์ด์ฉ๋ฉ๋๋ค.
๋ฏธ๋ถ ๊ฒฐ๊ณผ ๊ฐ์กฐํ๋ฉด ๋ธ๋ก ๋ด์ ์ต๋, ์ต์ ๊ฐ์ ์ฐจ์ด๋ฅผ ์์ง๋ก ํฉ๋๋ค.
โ
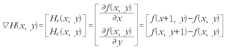
์ขํ (x, y)์์ ๊ฐ ๋ฐฉํฅ์ผ๋ก์ ํธ๋ฏธ๋ถ ๊ณต์์ ๋๋ค.

๋์งํธ ๋ฐ์ดํฐ์ ๋ฏธ๋ถ์ ์ด์ ๋ฐ์ดํฐ์์ ์ฐจ์ด ๊ฐ์ผ๋ก ํํ๋๋ฏ๋ก, ๋์งํธ ์์์ ๋ฏธ๋ถ์ ๊ฐ ๋ฐฉํฅ์ ๋ณํ์จ์ ๋ํ๋ ๋๋ค. Hr์ ํ ๊ฒ์ถ๊ธฐ์ด๊ณ , Hc๋ ์ด ๊ฒ์ถ๊ธฐ์ ๋๋ค.
โ
์ด ๋ ๊ฒ์ถ๊ธฐ๋ฅผ ํฉ์ณ์ ์์์ ์ ์ฒด ๋ณํ ๋ถ์ ํฌ๊ธฐ๋ฅผ ๊ณ์ฐํ ์ ์์ต๋๋ค.

โ
์ฃ์ง ๊ฒ์ถ์ ์ํ 1์ฐจ ๋ฏธ๋ถ ์ฐ์ฐ์ ์์ญ์ฒ๋ฆฌ ๊ธฐ๋ฒ์ ํ์ ์ฒ๋ฆฌ๋ก ์ํํ๋ ค๋ฉด
ํ ๊ฒ์ถ๊ธฐ์ ์ด ๊ฒ์ถ๊ธฐ๋ฅผ ํ์ ๋ง์คํฌ๋ก ์์ฑํฉ๋๋ค.
โ
์ด ํธ๋ฏธ๋ถ ์์์ ์ ์๋ ์ด์ ๋ฐ์ดํฐ์์ ์ฐจ์ด๋ฅผ ํํํ๋ ํ์ ๋ง์คํฌ๋ฅผ ์ป์ ์ ์์ต๋๋ค.
์ด๋ ๊ฒ ์ป์ 1์ฐจ ๋ฏธ๋ถ ํ์ ๋ง์คํฌ๋ ์ด๋๊ณผ ์ฐจ๋ถ์ ํ์ ๋ง์คํฌ์ ํํ๊ฐ ๋น์ทํฉ๋๋ค.
๋ง์คํฌ์ ํฌ๊ธฐ๊ฐ ํด์๋ก ์์ธํ ์ฃ์ง ๊ฒ์ถ์ด ์ด๋ ต๊ณ , ์์ผ๋ฉด ์ก์์ ๋ฏผ๊ฐํ๋ฉฐ, ํ์ ๋ง์คํฌ์ ํฉ์ 0์ ๋๋ค.

1์ฐจ ๋ฏธ๋ถ ํ์ ๋ง์คํฌ ์ข ๋ฅ
1์ฐจ ๋ฏธ๋ถ ํ์ ๋ง์คํฌ์ ์ข ๋ฅ๋ ๋ค์ํฉ๋๋ค. ๊ฐ๊ฐ ํ์ ๋ง์คํฌ๋ ๊ณ ์ ํ ํน์ง์ด ์์ต๋๋ค.
๊ฒ๋ค๊ฐ, ์ด ๋ง์คํฌ๋ ํ ๊ฒ์ถ ๋ง์คํฌ์ ์ด ๊ฒ์ถ ๋ง์คํฌ๋ฅผ ๊ฐ๊ฐ ๊ฐ์ง๊ณ ์์ผ๋ฉฐ, ์๋ก ๊ฐ์ด ๋์นญ์ ๋๋ค.
โ
โ
1) ๋ก๋ฒ์ธ ๋ง์คํฌ (Roberts)

์ฅ์
- ํฌ๊ธฐ๊ฐ ์์ ์ฐ์ฐ์ด ์ ์ผ๋ฏ๋ก, ๋น ๋ฅธ ์๋๋ก ๋์
- ์ฃผ๋ณ๊ณผ ๊ด๊ณ์์ด ๊ฒฝ๊ณ๊ฐ ํ์คํ ์ฃ์ง ์ถ์ถ
โ
๋จ์
- ๋์ถ๋ ๊ฐ์ ํ๊ท ํ ์ ์์
- ์ก์์ ๋ฏผ๊ฐ
โ
โ
2) ํ๋ฆฌ์ ๋ง์คํฌ (Prewitt)

์ฅ์
- ๋์ถ๋ ๊ฐ์ ์ ํ๊ท ํ
โ
๋จ์
- ๋๊ฐ์ ๋ณด๋ค ์ํ๊ณผ ์์ง์ ๋์ธ ์ฃ์ง์ ๋ฏผ๊ฐ ( ๊ฐ์ด ์ผ๋ ฌ๋ก ๋์ด๋์ด ์๊ธฐ ๋๋ฌธ )
โ
โ
3) ์๋ฒจ ๋ง์คํฌ (Sobel)

์ฅ์
- ๋์ถ๋ ๊ฐ์ ์ ํ๊ท ํ
- ๋ชจ๋ ๋ฐฉํฅ์ ์ฃ์ง ๊ฒ์ถ ๊ฐ๋ฅ
- ์ก์์ ๊ฐํจ
โ
๋จ์
- ๋๊ฐ์ ๋ฐฉํฅ์ ๋์ธ ์ฃ์ง์ ๋ฏผ๊ฐ
2์ฐจ ๋ฏธ๋ถ์ ์ด์ฉํ ์ฃ์ง ๊ฒ์ถ
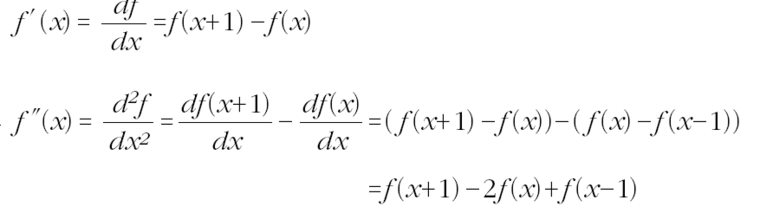
์๋๋ ์์์ ์ด์ฐ ํจ์ f(x)์์์ 1์ฐจ ๋ฏธ๋ถ๊ณผ 2์ฐจ ๋ฏธ๋ถ ๊ฒฐ๊ณผ์ ๋๋ค.

โ
1์ฐจ ๋ฏธ๋ถ์ ์ด์ฉํ ์ฃ์ง ๊ฒ์ถ์ ์ฃ์ง๊ฐ ์๋ ์์ญ์ ์ง๋ ๋ ๋ฏผ๊ฐํ๊ฒ ๋ฐ์ํ๋ค๋ ๋จ์ ์ด ์์ต๋๋ค.
2์ฐจ ๋ฏธ๋ถ์ ํตํด 1์ฐจ ๋ฏธ๋ถ์ ๋จ์ ์ ๋ณด์ํ๊ธฐ ์ํด ์ํ๋ฉ๋๋ค.
โ
์๋๋ 1์ฐจ ๋ฏธ๋ถ๊ณผ 2์ฐจ ๋ฏธ๋ถ ๊ฒ์ถ๊ธฐ์ ๋น๊ต์ ๋๋ค.

โ
๋ฐ๊ธฐ๊ฐ ์์ํ ๋ณํ๋ ๊ณณ์์๋ ๋ฐ์์ด ๋ํ๋๊ธฐ ๋๋ฌธ์, ์ฃ์ง ์ค์ฌ๋ง ํ์ํ๊ฑฐ๋ ์์ ๋ฐ์์ ๋ณด์ด์ง ์์ต๋๋ค.
โ
2์ฐจ ๋ฏธ๋ถ์ ์ฌ์ฉํ๋ฉด ์ข์ ์ ๊ณผ ๋์ ์ ์ด ๋ฌด์์ด ์์๊น์?
โ
์ฅ์
- ๊ฒ์ถ๋ ์ฃ์ง๋ฅผ ๋๊ฑฐ๋ ํ์ง ์๊ณ ์ฐ๊ฒฐ๋ ํ๊ณก์ ์ ํ์ฑ
โ
๋จ์
- ๊ณ ๋ฆฝ๋ ์ก์์ ๋ฏผ๊ฐ
- ์ค๊ณฝ์ ๊ฐ๋๋ง ๊ฒ์ถํ๋ฉฐ ๋ฐฉํฅ์ ๊ตฌํ์ง ๋ชปํจ
โ
2์ฐจ ๋ฏธ๋ถ ์ฐ์ฐ์ ์ฃ์ง ๋ถ๋ถ์์ ๋ถํธ๊ฐ ๋ฐ๋๋ ์ ๊ต์ฐจ(Zero Crossing)์ ํน์ฑ์ด ์์ต๋๋ค.
์ ๊ต์ฐจ๋ 0์ ์ง๋๋ ๊ฒ์ ๋๋ค. ์ฆ, high์์ low๋ก ๊ฐ๋๋ฐ ์ค๊ฐ์ ๋ถ๋ฌ ๊ตฌ๊ฐ์ ๋งํฉ๋๋ค.
์ด ๊ตฌ๊ฐ์ด ๋ณ๊ณก์ ์์ ๋ฐฉํฅ์ฑ์ ๊ฐ๊ณ ์๋ค๋ ์๋ฏธ์ ๋๋ค.
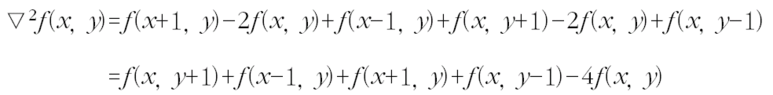
2์ฐจ ๋ฏธ๋ถ ์ฃ์ง ๊ฒ์ถ๊ธฐ - ๋ผํ๋ผ์์(Laplacian)
๋ผํ๋ผ์์ ์ฐ์ฐ์๋ ๋ํ์ ์ธ 2์ฐจ ๋ฏธ๋ถ ์ฐ์ฐ์์ ๋๋ค.
๋ชจ๋ ๋ฐฉํฅ์ ์ฃ์ง๋ฅผ ๊ฐ์กฐํ๋ฉฐ ๋ค์ ์์ ์ป์ ์ ์์ต๋๋ค.


โ
1์ฐจ ๋ฏธ๋ถ์ ํ์ ๋ง์คํฌ์๋ ํ๊ณผ ์ด ๋ฐฉํฅ์ ํ์ ๋ง์คํฌ๊ฐ ์ด 2๊ฐ ์์ต๋๋ค.
ํ์ง๋ง, 2์ฐจ ๋ฏธ๋ถ์ ๋ผํ๋ผ์์ ํ์ ๋ง์คํฌ์๋ ํ๊ณผ ์ด ๋ฐฉํฅ์ด ํฉ์ณ์ ธ 1๊ฐ๋ง ์์ต๋๋ค.
์๋๋ ๋ผํ๋ผ์์ ํ์ ๋ง์คํฌ ์์์ ๋๋ค. ์ดํฉ์ด 0์ด๋ค์. ๊ฒ๋ค๊ฐ, b์ c๋ ๋ฐ์ ๊ด๊ณ์ ๋๋ค.

์ปฌ๋ฌ ์์์์์ ์ฃ์ง ๊ฒ์ถ
RGB ์ปฌ๋ก ๋ชจ๋ธ์ ์ฌ์ฉํ ๋์๋ R, G, B ๊ฐ๊ฐ์์ ๊ฒ์ถ์ ์ํ ํ์ ์ ์ํํด์ผ ํฉ๋๋ค.
๊ฒ์ถ๋ ์ฃ์ง๋ฅผ ๋ค์ ํฉํด์ ์ปฌ๋ฌ ์์์ ์ฃ์ง๋ฅผ ์ป๋ ๋ฐฉ๋ฒ์ ๋๋ค.
์๋๋ ๊ฒ์ถ๋ ๊ฐ ์ฑ๋ถ์ ์ฃ์ง๋ฅผ ํฉ์น๋ ๊ณต์์ ๋๋ค.

๋ง์ฝ, HSI ์ปฌ๋ฌ ๋ชจ๋ธ์ ์ฌ์ฉํ๋ ๊ฒฝ์ฐ RGB ์ปฌ๋ก ๋ชจ๋ธ์ HSI ์ปฌ๋ก ๋ชจ๋ธ๋ก ๋ณํํฉ๋๋ค.
๋ช ๋ ๊ฐ I ์์๋ง ํ์ ์ ์ ์ฉํ ๋ค, RGB ์ปฌ๋ก ๋ชจ๋ธ๋ก ๋ณ๊ฒฝํ์ฌ ์ปฌ๋ฌ ์์์ ์ฃ์ง๋ฅผ ์ป์ต๋๋ค.
'๐ Programming > OpenCV' ์นดํ ๊ณ ๋ฆฌ์ ๋ค๋ฅธ ๊ธ
| [OpenCV] ํ์คํ ๊ทธ๋จ ๋ช ์ธํ ์์ค ์ฝ๋ (C++) (0) | 2020.12.31 |
|---|---|
| [OpenCV] ์์ ์ค์ผ์ผ๋ง(Scailing) (0) | 2020.12.30 |
| [์์ ์ฒ๋ฆฌ] ๊ฐ๋จํ ์ฃ์ง(Edge) ๊ฒ์ถ ๊ธฐ๋ฒ (0) | 2020.12.29 |
| [์์ ์ฒ๋ฆฌ] ํ์ ์ฒ๋ฆฌ ๊ธฐ๋ฒ ํ์ฉ๊ณผ ๊ฐ์ฐ์์ ํํฐ(Gaussian Filter) (0) | 2020.12.29 |
| [์์ ์ฒ๋ฆฌ] ํ์ ์ฒ๋ฆฌ์ ์๋ฆฌ์ ๊ฒฝ๊ณ ๋ถ๋ถ ์ฒ๋ฆฌ (1) | 2020.12.29 |