์ ๋ณด์ฑ
์ ๋ณด์ฑ์ ์ ์ ํ๊ฒ ๊ตฌ๋ถ๋ ๊ฒฝ๊ณ์ ์ผ๋ก ์์์ด ๋ณผ๋กํ ๋๋์ ๊ฐ๊ฒํฉ๋๋ค.
๊ฐ์ด๋ฐ์ ์๋ ๊ณ์๊ฐ ๋ค๋ฅธ ๊ณ์๋ฅผ ์์์ํค๋๋ก ๊ตฌ์ฑํด์ ๊ฒฝ๊ณ์ ์ ๊ฒ์ถํ๋๋ฐ, ์ด ๊ฒฝ๊ณ์ ์ ์๊ฐํ ํจ๊ณผ๋ฅผ ์ป์ ์ ์์ต๋๋ค.

โ
๋ง์คํฌ์๋ ์์ ๊ณ์ ๊ฐ -1์ด ์์ผ๋ฏ๋ก, ํ์ ์ฒ๋ฆฌ๋ก ์์ฑ๋ ์์์ ํ์ ๊ฐ์ ์์์ ๋๋ค.
ํ์๊ฐ ์์ ๊ฐ์ ๊ฐ์ง๋ ค๋ฉด ์ผ์ ํ ์์ ๊ฐ์ธ ์ค๊ฐ๊ฐ(์ต๋ ๋ฐ๊ธฐ์ 1/2)์ ๋ํด์ค๋๋ค.

๋ธ๋ฌ๋ง
๋ธ๋ฌ๋ง์ ์ ์ฃผํ ํต๊ณผ ํํฐ๋ง์ ๊ฑฐ์ณ ์์์ ์ค๊ณฝ์ ๋ถ๋ถ์ ๊ณ ์ฃผํ ์ฑ๋ถ์ ์ ๊ฑฐํฉ๋๋ค.
์ ์ฒด์ ์ผ๋ก ์์์ด ๋ถ๋๋ฌ์์ง๊ฒ ๋ฉ๋๋ค.


๋ง์คํฌ ๋ด์ ๊ณ์์ ํฉ์ด 1์ด๊ณ , M × M ์ ํฌ๊ธฐ๋ฅผ ๊ฐ์ง ๋ง์คํฌ์์ ๋ง์คํฌ ๋ด์ ๊ณ์๋ 1/(M × M) ์ ๋๋ค.
์๋ฅผ ๋ค์ด, 3 × 3 ๋ง์คํฌ๋ ๊ณ์๊ฐ ๋ชจ๋ 1/9, 5 × 5 ๋ง์คํฌ๋ ๊ณ์๊ฐ 1/25 ์ด๋ฉฐ, ๊ณ์์ ๋ชจ๋ ํฉ์ 1์ ๋๋ค.
โ
๋ง์คํฌ ๋ด ๊ณ์์ ๊ฐ์ ๋๊ฐ๊ธฐ ๋๋ฌธ์ ์ฃผ๋ณ ํ์๋ค๊ณผ ํ๊ท ํ ๊ฒฐ๊ณผ ๋ง์คํฌ์ ํฌ๊ธฐ๊ฐ ํฌ๋ฉด ํด์๋ก ๋ธ๋ฌ๋ง์ ํจ๊ณผ๋ ์ปค์ ธ ๊ทน๋จ์ ์ธ ๊ฐ์ ์ ๊ฑฐํ๋ ๋ฅ๋ ฅ์ด ์ข์์ง๊ฒ ๋ฉ๋๋ค.
โ
์ฆ, ์ก์ ๋์ถ๋์ด ๋์จ ๊ฐ์ ์ ๊ฑฐํ๋ ๊ฒ์ ๊ฐ๋ฅํ์ง๋ง ์์์ด ๋ถ๋๋ฌ์์ง๊ณ ํฌ๋ฏธํด์ง๊ธฐ ๋๋ฌธ์ ์์ ๋๋น๊ฐ ์ฝํ๋๋ค๋ ๋จ์ ์ด ์์ต๋๋ค. ๋ํ, ๊ณ์ฐ๋์ด ๋ง์์ ธ์ ์ฒ๋ฆฌ ์๋๊ฐ ์ค์ด๋ญ๋๋ค.

โ
์ด๋ฌํ ๋ธ๋ฌ๋ง์๋ ํ๊ณ๊ฐ ์์ต๋๋ค.
์์ ๋ด์ ์๋ ๊ฐ์ฒด์ ๊ฒฝ๊ณ ๋ถ๋ถ์ด ๋ชจํธํด์ง๋ค๋ ๊ฒ์ ์ก์ ์ ๊ฑฐ์ ์์ด์ ๊ฐ์ฅ ์น๋ช ์ ์ด๋ผ๋ ๋ป์ ๋๋ค.

โ
์ํ์ค ์ก์์ 0-255๋ก์ ์ต์/์ต๋ ๊ฐ๋ง์ผ๋ก ์ด๋ฃจ์ด์ ธ ์๋ ์ก์์ ๋๋ค.
๊ฒฝ๊ณ ๋ถ๋ถ์ธ ์์ง ๋๋ ์ ๋ณด๋ฅผ ์ด๋ฆฌ๋ฉด์๋ ์ก์์ ์ ๊ฑฐํ ์ ์๋ ๋ฏธ๋์ธ ํํฐ๋ง(Median Filter) ์๊ณ ๋ฆฌ์ฆ์ ์ฌ์ฉํฉ๋๋ค.
โ
๊ฐ์ฐ์์ ์ก์์ ๊ณจ๊ณ ๋ฃจ ํผ์ ธ์๋ ์ก์์ผ๋ก, ๋ธ๋ฌ๋ง์ด๋ ์ ์ญ ํต๊ณผ ํํฐ๋ฅผ ์ ์ฉํ์ฌ ์ก์์ ์ ๊ฑฐํฉ๋๋ค.
๊ฐ์ฐ์์ ์ค๋ฌด๋ฉ ํํฐ๋ง ์ฒ๋ฆฌ
์์์ ์ธ์ธํ ๋ถ๋ถ์ ์ ๊ฑฐํ์ฌ ๋ถ๋๋ฝ๊ฒ ํ๋ค๋ ๋ป์ผ๋ก, ์ค๋ฌด๋ฉ ์ฒ๋ฆฌ(Smoothing Processing)๋ผ๊ณ ๋ ํฉ๋๋ค.
โ

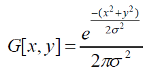
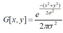
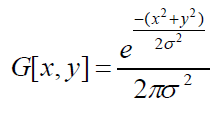
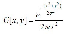
์ค๋ฌด๋ฉ ์ฒ๋ฆฌ์ ์ฌ์ฉ๋๋ ๋ํ์ ์ธ ์ ์ญ ํต๊ณผ ํํฐ๋ก ๊ฐ์ฐ์์ ํํฐ(Gaussian Filter)๊ฐ ์์ต๋๋ค. ์ด ํํฐ๋ ์ํ์ ์ผ๋ก ์ ์ ์๋ ๊ฐ์ฐ์์ ํจ์์์ ์ป์ ์ ์์ต๋๋ค.
โ

์ด ๊ทธ๋ํ๋ ๊ฐ์ฐ์์ ๊ทธ๋ํ์ ๋๋ค.
σ ๊ฐ์ด ์์์๋ก ์ ์ ์ ์ฃผํ ์ฑ๋ถ๋ง ํต๊ณผ์ํต๋๋ค.
σ ๊ฐ์ด ํด์๋ก ๋์ด๋ ๋ฎ์ง๋ง ํญ์ ๋์ด์ง๋ฏ๋ก ๋ง์ ์ ์ฃผํ ์ฑ๋ถ์ ํต๊ณผ์ํต๋๋ค.
โ
์ฆ, ์ด๋ ๊ฒ σ ๊ฐ์ ์กฐ์ ํ์ฌ ๊ณ ์ฃผํ๋๊ณผ ์ ์ฃผํ๋์ ์กฐ์ ํ ์ ์๋ ๊ฒ์ด ๊ฐ์ฐ์์ ํํฐ๋ง์ ํต์ฌ์ ๋๋ค.
โ
๊ฐ์ฐ์์ ํํฐ๋ ๊ฐ์ฐ์์ ํจ์๋ฅผ ํ๋ณธํํ์ฌ ๋ง์คํฌ์ ๊ณ์๋ฅผ ๊ฒฐ์ ํฉ๋๋ค.
์๋์ ๊ฐ์ด 3x3 ๊ฐ์ฐ์์ ํํฐ์ด๋ฉฐ, ๋ชจ๋ ๊ณ์๋ ์์ ๊ฐ์ผ๋ก ํฉํ๋ฉด 1์ด ๋ฉ๋๋ค.

โ
์๋์ ๊ฐ์ด 3x3 ๊ฐ์ฐ์์ ํํฐ๋ฅผ ์ด์ฉํ์ฌ ์ค๋ฌด๋ฉํ ์์์ผ๋ก, ์ ์ฒด์ ์ผ๋ก ๊ฒฝ๊ณ์ ์ด ์ฝํ๋์ด ํ๋ ค์ง๋๋ค.
์ด์ฒ๋ผ, ์์์ ํฐ ์์ค ์์ด ์ค๋ฌด๋ฉํ ์์์ผ๋ก ๋ฐ๊พธ๋ ๊ฒ์ด ๊ฐ์ฐ์์ ์ค๋ฌด๋ฉ ํํฐ๋ง์ ๋๋ค.

์คํ๋
๋ธ๋ฌ๋ง๊ณผ๋ ๋ฐ๋๋๋ ํจ๊ณผ๋ฅผ ๋ณด์ด๋ โ์คํ๋(์์ ๊ฐํ)โ์ ๊ณ ์ฃผํ์ ํด๋นํ๋ ์์ธํ ๋ถ๋ถ์ ์ข ๋ ๊ฐ์กฐํ์ฌ ๋๋น ํจ๊ณผ๋ฅผ ์ฆ๊ฐ์ํค๊ณ , ํ๋ฆฐ ์์์ ๊ฐ์ ํ์ฌ ์ ๋ช ํ ์์์ ์์ฑํ ๋ ์ฃผ๋ก ์ฌ์ฉํฉ๋๋ค.
โ

์์ ๊ฐ์ด ์คํ๋ ์ฒ๋ฆฌ ๋ง์คํฌ๋ ํ ๊ฐ์ด๋ฐ ๊ฐ์ ์์ ๊ฐ์ผ๋ก ํ๊ณ , ๊ทธ ์ธ๋ ์์ ๊ฐ์ ๊ฐ์ง๋๋ค.
๋ฐ๋ผ์, ํญ์ ์คํ๋ ๋ง์คํฌ ๊ณ์์ ํฉ์ 1์ ๋๋ค.
โ
๋ธ๋ฌ๋ง์ ์ก์์ ์ ๊ฑฐํ์ง๋ง, ์คํ๋์ ์ก์์ ์ฆ๊ฐ์ํค๊ธฐ ๋๋ฌธ์ ๋จ์ฉํ๋ฉด ์๋ฉ๋๋ค.
์ก์์ ๋ฏผ๊ฐํ ์์์ผ ๊ฒฝ์ฐ, ์ด๋ค ์๊ณ ๋ฆฌ์ฆ์ ์ ์ฉํ๊ธฐ ์ ์๋ ์ ์ฒ๋ฆฌ๊ณผ์ ์ ๊ฑฐ์น๋ ๊ฒ์ด ๋ฐ๋์งํฉ๋๋ค.

์์ ๊ฐ์ด ฮฌ ๊ฐ์ ๋ฐ๋ผ ํํฐ๋ง์ ์์ ์กฐ์ ํ ์ ์์ต๋๋ค.
