ํ์ ์ ์ฒ๋ฆฌ ๊ธฐ๋ฒ
๋ช ์ ๋ณํ(Intensity Transform)์ ๋ฐ๊ธฐ๋ฅผ ๋ณ๊ฒฝํ๋ ๊ฒ์ ๋๋ค.
๋ฏธ๋ฆฌ ์ง์ ๋ ๋ณํ ํจ์๋ฅผ ๊ธฐ๋ฐ์ผ๋ก ์ ๋ ฅ ์์์ ์ด์ ํ์๋ฅผ ์๋กญ๊ฒ ์ฌํ์ ์ํค๋ ๊ธฐ๋ฒ์ ๋๋ค.
โ
์ผ๋ฐํ๋ ์
Output(q) = T [Input(p)]
โ
p : ์ ๋ ฅ ์์์ ํ์ ๊ฐ
T : ํ์ ๊ฐ์ ๋ณํํ๋ ํจ์
q : ๊ฐ์ ๋ณํํ์ฌ ์ป๋ ์ถ๋ ฅ ํ์ ๊ฐ
โ
ํ์ ๊ฐ์ ๋ณํํ๋ ์ฌ๋ฌ ๋ณํ ํจ์๊ฐ ์์ต๋๋ค.
๋ ๋ณํ (Null Transform)
์ ๋ ฅ ์์์ ์ถ๋ ฅ ์์์ผ๋ก ๋ณํํด๋ ์๋ฌด๋ฐ ์ผ๋ ์ผ์ด๋์ง ์๋ ํจ์์ ๋๋ค.
๊ทธ๋ฅ ๋จ์ํ ์ ๋ ฅ ํ์๋ฅผ ์ถ๋ ฅ ํ์๋ก ๋ฐ๊พธ๋ ๋ณํ์ ๋๋ค.
โ
Output(q) = Input(p)


๋ฐ์ ๋ณํ (Negative Transform)
์ฌ์งํ์ ์ญ๋ณํ์ ๋๋ค. ๊ฐ ํ์์ ๊ฐ์ด ์์ ๋ด์ ๋์นญ์ด ๋๋ ๊ฐ์ผ๋ก ๋ณํ๋ฉ๋๋ค.
์ฃผ๋ก, ์๋ฃ๊ณ์์ MRI์์์์ ๋ฐ์ ํ์์ ์ฃผ์ด ์ ๋ฐ๋ณ์ ์ ๋ฌด๋ฅผ ํ์ธํ ์ ์์ต๋๋ค.
โ
Output(q) = 255 - Input(p)
๋ง์ฝ, 8๋นํธ ๊ทธ๋ ์ด ๋ ๋ฒจ์ ์์์ ๋ฐ์ ์ํค๋ฉด, ํ์ ๊ฐ 0์ 255๋ก, 1์ 254๋ก ๋ณํ๋ฉ๋๋ค.

๊ฐ๋ง ๋ณด์ (Gamma Correction)
์์ ์ฐ์ฐ๊ณผ ๋ฌ๋ฆฌ ๋น์ ํ์ ์ธ ๊ทธ๋ํ๋ฅผ ์ด์ฉํ์ฌ ์์์ ํ์ง์ ๋ณํํ๋ ํจ์์ ๋๋ค.
๋ชจ๋ํฐ(CRT)๋ ๋น์ ํ ์์์ฌ์ ์์ ์ ํธ์ ๋ณด์ ์ด ํ์ํ๋ฏ๋ก, ์ ๋ ฅ ๊ฐ์ ์กฐ์ ํ์ฌ ์ถ๋ ฅ์ ์ ๋๋ก ๋ง๋ญ๋๋ค.
โ
Output(q) = Input(p)^(1/r)
ํจ์์ ๊ฐ๋ง ๊ฐr ์ ๋ฐ๋ผ ์์์ ๋ฐ๊ฒํ๊ฑฐ๋ ํ๋ฆฌ๊ฒ ์กฐ์ ํ ์ ์์ต๋๋ค.
โ
r > 1 : ์ด๋์์ง
r < 1 : ๋ฐ์์ง

๋ช ์ ๋๋น ๋ณํ (Intensity Contrast Transform)
1) ๋ช ์ ๋๋น ์คํธ๋ ์นญ (Intensity Contrast Stretching)
๋ฐ๊ธฐ์ ์ฐจ์ด๋ฅผ ํฌ๊ฒํด์, ๋์ ๋ช ์ ๋๋น์ ์์์ ์์ฑํฉ๋๋ค.
์์์ ๊ฐ์ฅ ๋ฐ์ ๊ฐ์ ์ต๋๋ก ๋ฐ๊ฒ! ๊ฐ์ฅ ์ด๋์ด ๊ฐ์ ์ต๋๋ก ์ด๋ก๊ฒ! ์ค์ ํฉ๋๋ค.

โ
2) ๋ช ์ ๋๋น ์์ถ (Intensity Contrast Compress)
๋ฐ๊ธฐ ์ฐจ์ด๋ฅผ ์ค์ฌ ๋ฎ์ ๋ช ์ ๋๋น์ ์์์ ์์ฑํฉ๋๋ค.
์์์ ๊ฐ์ฅ ๋ฐ์ ๊ฐ์ ์ด๋ก๊ฒ, ๊ฐ์ฅ ์ด๋์ด ๊ฐ์ ๋ฐ๊ฒ ์ค์ ํฉ๋๋ค.


๊ฒฝ๊ณ ๊ฐ ์ด์ฉ
๋์งํธ ์์์ ํ์ ๊ฐ์ ์ฃผ์ด์ง ๊ฒฝ๊ณ ๊ฐ์ผ๋ก ๊ทธ๋ฃนํํ์ฌ ํ์ ๊ฐ์ ์๋ฅผ ๊ฐ์์ํค๋ ๋ฐฉ๋ฒ์ ๋๋ค.
โ
๊ทธ ์ค, ํฌ์คํฐ๋ผ์ด์ง(Posterizing)์ ํ์์ ๋ช ์ ๊ฐ ๋ฒ์๋ฅผ ๊ฒฝ๊ณ ๊ฐ์ผ๋ก ์ถ์์ํค๋ ๋ฐฉ๋ฒ์ ๋๋ค.
๊ฒฝ๊ณ ๊ฐ 8๊ฐ๋ก 8๋นํธ ๊ทธ๋ ์ด ๋ ๋ฒจ ์์์ ํฌ์คํฐ๋ผ์ด์ง ์ฒ๋ฆฌํ๋ฉด, ๋ช ์ ๊ฐ 256๊ฐ๊ฐ 8๊ฐ๋ก ๋ณ๊ฒฝ๋ฉ๋๋ค.
์ค์ํ์ ์๋ฅผ ๋ค๋ฉด, ์ํ ์ ์ 0์ ๋ถํฐ 100์ ์ 1๋ฑ๊ธ๋ถํฐ 9๋ฑ๊ธ์ผ๋ก ํํํ๋ ๊ฒ๊ณผ ๊ฐ์ต๋๋ค.

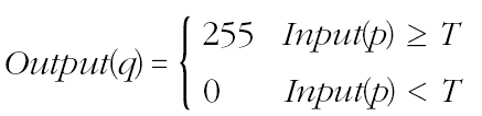
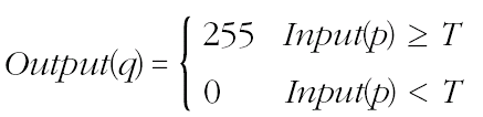
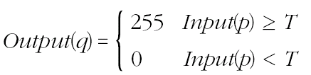
์ด์งํ (Binarization)
๊ฒฝ๊ณ ๊ฐ์ ์ด์ฉํด์ ๊ฐ์ด 2๊ฐ๋ง ์๋ ์์์ผ๋ก ๋ณํํด์ค๋๋ค.

โ
๋ณดํต ๊ทธ๋ ์ด ๋ ๋ฒจ ์์์ ์ด์ง ์์์ผ๋ก ๋ณํํ ๋ ์ฌ์ฉ๋ฉ๋๋ค.
๊ฐ์ด 2๊ฐ ๋ฟ์ด๋ผ์ ๋ถ์์ด ์ฝ๊ณ , ๋ช ์ ๋๋น๊ฐ ๋งค์ฐ ๋ฎ์ ์์์์ ๋ฐฐ๊ฒฝ๊ณผ ๋ฌผ์ฒด๋ฅผ ํ์คํ๊ฒ ๊ตฌ๋ถํ ์ ์๊ฒ ํฉ๋๋ค.

๋ฒ์ ๊ฐ์กฐ ๋ณํ
์์์์ ํ ๋ถ๋ถ์ ํ์๋ ์ ์ํ๋ฅผ ์ ์งํ ์ฑ, ์ผ์ ๋ฒ์์ ํ์๋ง ๊ฐ์กฐํ๋ ๋ฐฉ๋ฒ์ ๋๋ค.
โ
์ํ๋ ๋ถ๋ถ์ ํ์ ๊ฐ์ด ์ปค์ง๊ฑฐ๋ ์์์ ธ์ ๋ค๋ฅธ ๋ถ๋ถ๊ณผ ๋น๊ตํด์ ๋์ฑ ๋๋๋ผ์ง๊ฒ ๋ง๋ญ๋๋ค.
์๋ (c) ๊ทธ๋ํ๋ฅผ ๋ณด๋ฉด, w0๋ถํฐ w1๊น์ง์ ๋ฒ์๋ฅผ ์ต๋๊ฐ์ผ๋ก ์ค์ ํ์ฌ ๋ฒ์์ ๊ฐ์ ๋๋ ทํ๊ฒ ๋ง๋ญ๋๋ค.
